建筑题库 > 正文

根据《工程网络计划技术规程》JQJ/- 建设工程教育网

2018-12-13来源: 建设工程教育

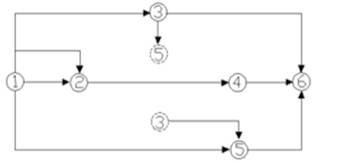
根据《工程网络计划技术规程》JQJ/T121-2015,网络图存在的绘图错误是(  )。

A.编号相同的工作

B.多个起点节点

C.相同的节点编号

D.无箭尾节点的箭线

查看答案解析

【正确答案】A

【答案解析】本题考查的是工程网络计划的编制方法。①→②有两个工作,所以有编号相同的两个工作。参见教材P127.

2019二级造价高效取证方案
分享到:
阅读下一篇
绘制时间-成本累积曲线的环节有- 建设工程教育网
2019年一建报考常见问题}}

取消
复制链接,粘贴给您的好友

复制链接,在微信、QQ等聊天窗口即可将此信息分享给朋友