建筑题库 > 正文

根据《工程网络计划技术规程》,网络图存在的绘图错误

2019-01-03来源: 建设工程教育网

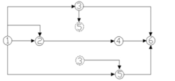
  根据《工程网络计划技术规程》JQJ/T121-2015,网络图存在的绘图错误是( )。

   一级建造师项目管理

  编号相同的工作

  B. 多个起点节点

  C. 相同的节点编号

  D. 无箭尾节点的箭线

查看答案解析

  【正确答案】 A

  【答案解析】 本题考查的是工程网络计划的编制方法。①→②有两个工作,所以有编号相同的两个工作。参见教材P127。

  本题知识点:双代号网络计划

2019二级造价高效取证方案
分享到:
阅读下一篇
绘制时间-成本累积曲线的环节有:①计算单位时间成本;②确定工程
2019年一建报考常见问题}}

取消
复制链接,粘贴给您的好友

复制链接,在微信、QQ等聊天窗口即可将此信息分享给朋友