题库 > 正文

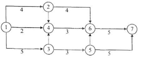
某工程双代号网络计划如下图所示,其关键线路有( )条。

2018-12-27来源: 建设工程教育网

  某工程双代号网络计划如下图所示,其关键线路有( )条。

监理工程师

  A.2

  B.3

  C.4

  D.5

查看答案解析

  【正确答案】C

  【答案解析】本题考查的是双代号网络计划时间参数的计算。关键线路有:①→②→⑥→⑦;①→③→④→⑥→⑦;①→③→⑤→⑥→⑦;①→③→⑤→⑦。参见教材P50。

分享到:
阅读下一篇
某工程双代号时标网络计划(时间单位:周)如下图所示,其中工作E的总时差
2019年监理工程师点题密训

取消
复制链接,粘贴给您的好友

复制链接,在微信、QQ等聊天窗口即可将此信息分享给朋友