建筑题库 > 正文

某工程有A、B、C、D、E五项工作,其逻辑关系为A、B、C完

2019-01-10来源: 建设工程教育网

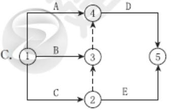
  某工程有A、B、C、D、E五项工作,其逻辑关系为A、B、C完成后D开始,C完成后E才能开始。则据此绘制的双代号网络图是( )。

  A. 某工程有A、B、C、D、E五项工作,其逻辑关系为A、B、C完
  B. 某工程有A、B、C、D、E五项工作,其逻辑关系为A、B、C完
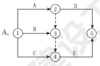
  C. 某工程有A、B、C、D、E五项工作,其逻辑关系为A、B、C完
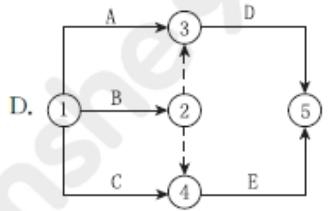
  D. 某工程有A、B、C、D、E五项工作,其逻辑关系为A、B、C完
查看答案解析

  【正确答案】 C

  【答案解析】 本题考查的是双代号网络计划。A、B、C都是D的紧前工作,C是E的紧前工作,D、E之间是没有逻辑关系的。故选择选项C。参见教材P136。

  本题知识点:双代号网络计划,

2019二级造价高效取证方案
分享到:
阅读下一篇
施工组织总设计、单位工程施工组织设计及分部(分项)工程施工组
2019年二建报名条件

取消
复制链接,粘贴给您的好友

复制链接,在微信、QQ等聊天窗口即可将此信息分享给朋友