一级建筑师备考指导:传热的基本知识
2014-04-18 14:34 来源于网络
热量的传递称为传热。在自然界中,只要存在温差就会出现传热现象。
传热的基本概念
(一)温度
温度是表征物体冷热程度的物理量,温度使用的单位为K或℃。
(二)温度场
某一瞬间,物体内所有各点的温度分布称为温度场。稳定温度场:温度场内各点温度不随时间变化。
(2)不稳定温度场:温度场内各点温度随时间发生变化。
在建筑热工设计中,主要涉及的是一维稳定温度场t=f(x)和一维不稳定温度场t=f(x, )中的传热问题。在一维稳定温度场中,温度仅沿一个方向(如围护结构的厚度方向)发生变化;而在一维不稳定温度场中,温度不仅沿一个方向发生变化,而且各点的温度还随着时间发生改变。
(三)等温面
温度场中同一时刻由温度相同的各点相连所形成的面。使用等温面可以形象地表示温度场内的温度分布。

不同温度的等温面绝对不会相交。
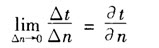
(四)温度梯度
温度差与沿法线方向两个等温面之间距离Δt的比值的极限叫做温度梯度。表示为:
![]()
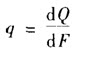
(五)热流密度(热流强度)
热流密度是在单位时间内,通过等温面上单位面积的热量,单位为W/㎡.若单位时间通过等温面上微元面积dF的热量为dQ,则热流密度定义式为:

责任编辑:玛门
分享到:
相关资讯