建设工程教育网
房地产估价师
建设工程教育网

首页 > 房地产估价师 > 试题中心 > 历年试题

某旧商业综合楼,装修改造完成后租期尚有5年

  2011年房地产估价师理论与方法》试题判断题第10题

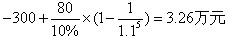
  10.某旧商业综合楼,装修改造完成后租期尚有5年,承租人有两种装修改造方案:一是重新装修但不改变用途,装修费为180万元,每年净收益比装修前增加50万元;二是重新装修且改变用途,装修费为300万元,每年净收益比装修前增加80万元。假定报酬率为10%,则承租人应选择第二个方案。(  )
  【正确答案】错误
  【建设工程教育网权威解析】
  第一种增加价值2011年房地产估价师《理论与方法》试题判断题第10题
  第二种增加价值2011年房地产估价师《理论与方法》试题判断题第10题

答案及解析由网校老师整理而成,据学员反映部分网站未经许可擅自转载,且出现内容错误,请大家以本网为准。

若您在房地产估价师学习过程中有任何疑问,欢迎进入论坛讨论

  推荐

  2014年房地产估价师考试高分通过方案 

  2014年房地产估价师考试学习计划表

  房地产估价师试题及答案汇总(04年~10年)

  关注建设工程教育网官方微信、微博,随时随地了解考试动态

建设工程教育网官方微博、微信

责任编辑:小蜻蜓
全部评论(0打开APP查看全部 >
打开APP看资讯 更多更快更新鲜 >>
加入组织一起备考

长按保存图片
微信识别进入小程序

关注公众号
了解更多

学习资料包免费领取

学习计划知识大纲

历年试题备考方法

一键领取
前往建设工程教育网APP查看 体验更佳!
取消 前往
0
0
0
0
评论
下载APP

交流分享,早日上岸!

添加老师微信号
回复报考专业进群
已加入购物车
取消
复制链接,粘贴给您的好友

复制链接,在微信、QQ等聊天窗口即可将此信息分享给朋友