建设工程教育网
二级建造师考试

下载app
首页 > 二级建造师考试 > 试题中心 > 模拟试题

二级建造师施工管理:双代号网络计划(4.7)

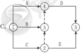
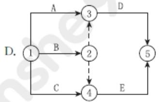
  某工程有A.B.C.D.E五项工作,其逻辑关系为A.B.C完成后D开始,C完成后E才能开始。则据此绘制的双代号网络图是( )。

  A.

  B.

  C.

  D.

 

  

建设工程教育网原创·转载请注明出处

我要纠错】 责任编辑:sugar
打开APP看资讯 更多更快更新鲜 >>
学习资料包免费领取

学习方法考试大纲

历年试题备考指导

一键领取
加入组织一起备考

长按保存图片
微信识别进入小程序

添加老师微信
咨询享优惠

前往建设工程教育网APP查看 体验更佳!
取消 前往

交流分享,早日上岸!

添加老师微信号
回复报考专业进群
已加入购物车