在房地产估价中所使用的方法有比较法、收益法、成本法和假设开发法,这四种方法统称为四大方法,这四大方法中“收益法”所涉及的公式是最多最复杂的,收益法是采用净收益来测算房地产价值,因此根据净收益的情况不同所使用的公式也是不同的,故将这些情况进行总结,方便我们对比记忆。
一、净收益每年不变公式
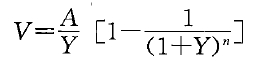
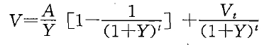
(1)收益期为有限年

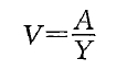
(2)收益期为无限年

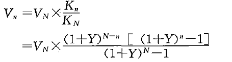
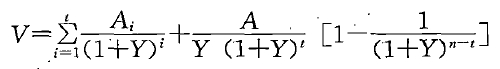
(3)不同期限房地产价格之间的换算

二、净收益按一定数额递增(递减)的公式
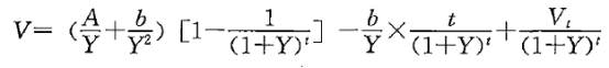
(1)收益期为有限年的公式

(

)
(2)收益期为无限年的公式

三、净收益按一定比率递增(递减)的公式
(1)收益期为有限年的公式

(

)
(2)收益期为无限年的公式

(

)
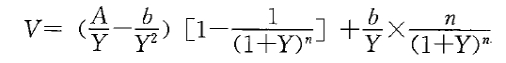
四、净收益在前后两段变化规律不同的公式
(1)收益期为有限年的公式

(2)收益期为无限年的公式

五、预知未来若干年后价格的公式

(1)期间收益每年不变的公式

(2)期间收益按一定数额递增的公式

(3)期间收益按一定数额递减的公式

(4)期间收益按一定比率递增的公式

(5)期间收益按一定比率递减的公式

推荐阅读:
房估考生必读:土地估价方法之市场比较法
房地产估价师考生必读集锦,这些知识你都了解吗?