2019监理工程师考试临近,为了方便大家的复习,建设工程教育网为大家整理了监理工程师历年试题。临近考试大家要学会放松自己的心态,不要有太大的压力。做好平时的复习计划,按照计划一步步的去复习就一定能够取得不错的成绩。在做试题的同时一定注意查漏补缺,不要单纯为了做题而做题,要把试题和课本的知识结合好,相辅相成不断找出知识的遗漏点,不断去整合自己的知识框架,这样大家在考试的过程中才会游刃有余,取得好的成绩。
本篇文章提供的是《建设工程进度控制》试题及解析,大家认真观看。
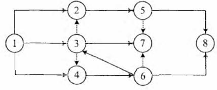
某分部工程双代号网络图如下图所示,图中错误有( )。

A.多个终点节点
B.多个起点节点
C.工作代号重复
D.节点编号有误
E.存在循环回路
【正确答案】ADE
【答案解析】本题考查的是双代号网络图的绘制。选项A有⑦⑧两个终点节点。选项D节点②③④的编号有误。选项E③④⑥组成了闭合回路。参见教材P38。
监理工程师最后的复习阶段大家一定要花大量的时间去研究试题,这是最有效的复习手段。另外,临近考试大家难免有些小紧张,这很正常,大家一定要调整好自己的心态,调整好自己的作息,多放松一下,多做运动,把自己的状态调整到最好。相信大家2019年监理工程师考试都能取得良好的成绩,一次通过。大家加油。更多资料欢迎登陆建设工程教育网在线题库。点击进入题库< 题库操作方法<