2019年二级建造师考试马上就要到来,各位考生们复习的怎么样了呢?建设工程教育网为大家提供了一些练习题,帮助各位考生巩固一下知识点,快来做题吧!

2019年二级建造师 临考速成
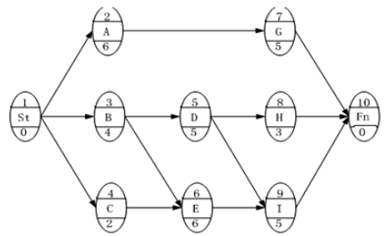
【知识点】:关键工作、关键路线和时差
【例题】某分部工程的单代号网络计划如图所示(时间单位:天),正确的有( )。

A.有两条关键线路
B.计算工期为15
C.工作G的总时差和自由时差均为4
D.工作D和I之间的时间间隔为1
E.工作H的自由时差为2
『正确答案』BCD
『答案解析』本题考查的是关键工作、关键路线和时差。关键线路只有1条B-E-I,计算工期为4+6+5=15天;G工作的总时差=15-11=4天,G工作的自由时差=15-11=4天;D工作最早完成是第9天,I工作最早开始是第10天,工作D、I之间有1天的时间间隔;H工作的自由时差=15-(4+5+3)=3天。
以上就是为大家分享的二级建造师知识点考点习题,希望对各位有所帮助。关于2019年二级建造师考试的更多信息请关注建设工程教育网。
相关推荐:
2019年二级建造师准考证打印
二级建造师历年试题及答案免费下载
二级建造师备考资料包免费下载
二级建造师考前必做100题