2012年一级建造师《水利水电》知识点总结(1)
2012-04-26
普通
二、能量转换
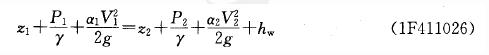
根据能量守恒原理,恒定水流的能量方程为:

上式代表1、2两个断面之间水流的能量守恒,其中h,,表示两个断面之间的能量损失,其余三项代表单位质量水体的机械能,分别为位能、压能和动能。位能、压能和动能在水体流动过程中是可以互相转化的。
明渠均匀流中,压能、动能不变,而位能逐渐减小∫是由于克服阻力,产生沿程水头损失。
水库(水闸等)泄水,水流从泄水口喷射而出,位能转化为动能。
建设工程教育网整理
责任编辑:蓝精灵