建设工程教育网

首页 > 一级造价工程师 > 试题中心 > 模拟试题

2013年造价工程师《计价与控制》每日一练(1.22)

建设工程教育网 2013-01-22
普通

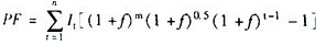
  某建设项目,经投资估算确定的工程费用与工程建设其他费用合计为2000万元,项目建设期为2年,每年各完成投资计划50%.基本预备费率为5%,年均投资价格上涨率为10%,项目建设前期1年。该项目建设期的涨价预备费为(  )万元。
  A.300.0
  B.310.0
  C.315.0
  D.443.88

       

建设工程教育网原创·转载请注明出处

责任编辑:风信子

2020年一级造价师进入备考阶段,网校总结多年成功辅导经验,从学员实际需求出发,结合一级造价师考试命题规律、重点、难点,融入先进的教学理念,推出全新个性化班次,学习刻不容缓!加入我们,为你的一级造价师考试保驾护航。

关注"一级造价师"公众号,免费获取"备考资料",考试不掉队!

长按二维码,保存到相册,用微信扫描图片扫码进群,享特惠、问问题、交朋友

试听课程
加载更多 >
你可能感兴趣的文章:
取消
复制链接,粘贴给您的好友

复制链接,在微信、QQ等聊天窗口即可将此信息分享给朋友