建设工程教育网

首页 > 二级建造师考试 > 试题中心 > 模拟试题

2017二建施工管理每日一练:双代号网络计划(10.20)

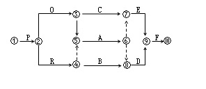
  某工程施工进度计划如下图所示,下列说法中正确的有(   )。

2017二建施工管理每日一练:双代号网络计划(10.20)

  A、R的紧后工作有A、B

  B、E的紧前工作只有C

  C、D的紧后工作只有F

  D、P没有紧前工作

  E、A、B的紧后工作都有D

  

建设工程教育网原创·转载请注明出处

我要纠错】 责任编辑:大明白

建设工程教育网二级建造师新课上线,网校总结多年成功辅导经验,从学员实际需求出发,结合二级建造师考试规律、重点、难点,融入先进的教学理念。高效备战二级建造师考试,打造零基础全科备考方案,全新课程套餐,快速提高分数,备考必修课!立即查看>>

打开APP看资讯 更多更快更新鲜 >>
学习资料包免费领取

学习方法考试大纲

历年试题备考指导

一键领取
加入组织一起备考

长按保存图片
微信识别进入小程序

添加老师微信
咨询享优惠

前往建设工程教育网APP查看 体验更佳!
取消 前往
下载APP

交流分享,早日上岸!

添加老师微信号
回复报考专业进群
已加入购物车