建设工程教育网

首页 > 二级建造师考试 > 试题中心 > 历年试题

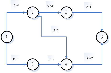
下列网络计划图的计划工期是什么

  2011年二级建造师考试机电工程管理与实务》试题单选题第41题

  下列网络计划图的计划工期是(  )。

  A.9
  B.11
  C.12
  D.13

单选41题

  【答案】C
  【建设工程教育网老师权威解析】:本题考查的是工程网络进度计划。根据网络图可得关键线路为①→②→④→⑥,计划工期为4+6+2=12天。

  若您在二建学习过程中有任何疑问,欢迎进入论坛讨论

  推荐

  ·2014年二级建造师考试高分通过方案

  ·2011-2013年二级建造师试题及答案

  ·2014年二建教材即将改版,获取一手老师解读信息,关注官方微信!

二级建造师官方微信

责任编辑:天蓝

建设工程教育网二级建造师新课上线,网校总结多年成功辅导经验,从学员实际需求出发,结合二级建造师考试规律、重点、难点,融入先进的教学理念。高效备战二级建造师考试,打造零基础全科备考方案,全新课程套餐,快速提高分数,备考必修课!立即查看>>

打开APP看资讯 更多更快更新鲜 >>
学习资料包免费领取

学习方法考试大纲

历年试题备考指导

一键领取
加入组织一起备考

长按保存图片
微信识别进入小程序

添加老师微信
咨询享优惠

前往建设工程教育网APP查看 体验更佳!
取消 前往
下载APP

交流分享,早日上岸!

添加老师微信号
回复报考专业进群
已加入购物车