建设工程教育网

首页 > 二级建造师考试 > 试题中心 > 历年试题

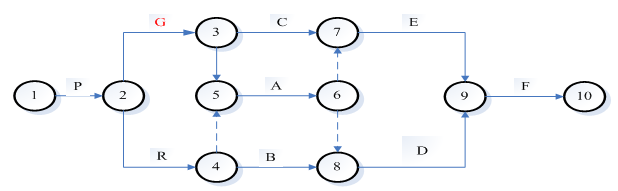
某工程施工进度计划网络图中,下列说法中,正确的有哪些

  2011年二级建造师考试机电工程管理与实务》试题多选题第18题

  某工程施工进度计划网络图中,下列说法中,正确的有(  )。
  A.R的紧后工作有A.B
  B.E的紧前工作只有C
  C.D的紧后工作只有F
  D.P没有紧前工作
  E.A.B的紧后工作都有D

多选第18题

  【答案】ACDE
  【建设工程教育网老师权威解析】:本题考查的是工程网络进度计划。由网络图可知E的紧前工作有两项,分别是A和C工作,所以选项B错误。

  答案及解析由网校老师整理而成,据学员反映部分网站未经许可擅自转载,且出现内容错误,请大家以本网为准。

  若您在二建学习过程中有任何疑问,欢迎进入论坛讨论

  推荐

  ·2014年二级建造师考试高分通过方案

  ·2011-2013年二级建造师试题及答案

  ·2014年二建教材即将改版,获取一手老师解读信息,关注官方微信!

二级建造师官方微信

责任编辑:天蓝

建设工程教育网二级建造师新课上线,网校总结多年成功辅导经验,从学员实际需求出发,结合二级建造师考试规律、重点、难点,融入先进的教学理念。高效备战二级建造师考试,打造零基础全科备考方案,全新课程套餐,快速提高分数,备考必修课!立即查看>>

打开APP看资讯 更多更快更新鲜 >>
学习资料包免费领取

学习方法考试大纲

历年试题备考指导

一键领取
加入组织一起备考

长按保存图片
微信识别进入小程序

添加老师微信
咨询享优惠

前往建设工程教育网APP查看 体验更佳!
取消 前往
下载APP

交流分享,早日上岸!

添加老师微信号
回复报考专业进群
已加入购物车