建设工程教育网
一级建造师
建设工程教育网

首页 > 一级建造师 > 备考资料 > 复习资料

2018年一级建造师《工程经济》计算题考点(三十一)

  2018年一级建造师《工程经济》计算题考点(三十一),离一级建造师考试还有2天的时间,在这一段时间里,建设工程教育网为大家整理了2018年一级建造师《工程经济》计算题考点(三十一),希望对各位考生有所帮助。

  考点三十一:物价变化导致综合单价调整

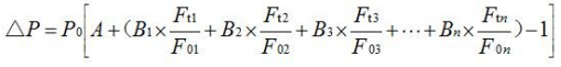
  当没有约定,且材料、工程设备单价变化超过 5%时,超过部分的价格应按照价格指数调整法或造价信息差额调整法计算调整材料、工程设备费。

  

 

  1.某工程合同价为 300万元,本期完成合同价款 100万元,合同约定:采用调值公式进行动态结算,其中固定要素比重为 0.2,调价要素分为 A、B、C三类,分别占合同价的比重为 0.15、0.35、0.3,结算时价格指数分别增长了 20%、15%、25%,则该工程需要调整的价款差额为()万元。

  A.115.75

  B.19.75

  C.15.75

  D.120.75

  【答案】C

  2.某工程约定当价格波动超过一定范围时根据价格调整公式调整合同价格。已知不调部分占合同总价的 20%,可调部分有人工费、运输费、钢筋价格、混凝土价格,其占可调部分的比例分别为 40%、10%、20%、30%。基准日期的价格指数均为 100,结算时采用的价格指数分别为 110、105、106、108。若结算当月完成的合同金额 1000 万,则调整后的合同金额为()万元。

  A.1064.8

  B.1148.6

  C. 1281.0

  D.1384.2

  【答案】A

  【解析】1000×[0.2+0.4×0.8×1.1+0.1×0.8×1.05+0.2×0.8×1.06+0.3×0.8×1.08]=1064.8

  以上就是关于2018年一级建造师《工程经济》计算题考点(三十一),希望这些考点,能帮助到考生们,如果想了解关于一级建造师的信息,请关注建设工程教育风一级建造师栏目。

  相关推荐:

  一建考前快速取证计划临考点睛资料包 考前救命稻草

  2018年一级建造师考试备考资料免费下

  一级建造师冲刺模考

  2018年考哪些题?模考点题,做题讲题一气呵成

全部评论(0打开APP查看全部 >
打开APP看资讯 更多更快更新鲜 >>
加入组织一起备考

长按保存图片
微信识别进入小程序

长按保存图片
添加老师领优惠

学习资料包免费领取

学习计划白皮书

历年试题备考精华

一键领取
前往建设工程教育网APP查看 体验更佳!
取消 前往
0
0
0
0
评论
下载APP

交流分享,早日上岸!

添加老师微信号
回复报考专业进群
已加入购物车
取消
复制链接,粘贴给您的好友

复制链接,在微信、QQ等聊天窗口即可将此信息分享给朋友