岩石的抗剪强度约为抗压强度的( )
下列关于裂隙的说法正确的是?
下列关于岩浆岩、沉积岩、变质岩的地质特征,说法正确的是
根据《标准施工招标文件》,合同价格的准确数据只有在( )后才能确定。
限额设计中,造价控制目标分解的合理步骤是( )。
对于实行限额设计的工程项目,初步设计的限额目标应根据( )确定。
为了减少项目投资风险,在工程建设方面可要求工程承包公司提供( )的合同。
下列项目融资工作中,属于融资结构设计阶段工作内容的是( )。
进行追加筹资决策所依据的资金成本是( )。
通过国际金融机构贷款方式筹集项目资金的特点是( )。
下列影响因素中,用来确定基准收益率的基础因素是( )。
对于已确定的日供水量的城市供水项目,进行工程成本评价应采用( )。
价值工程活动中,功能整理的主要任务是( )。
某笔借款年利率6%,每季度复利计息一次,则该笔借款的年实际利率为( )。
关于《标准施工招标文件》中通用合同条款的说法,正确的是( )。
为缩短工期而采取的进度计划调整方法中,不需要改变网络计划中工作间逻辑关系的是
单代号网络计划中,关键线路是指( )的线路。
下列流水施工参数中,属于时间参数的是( )
下列工程项目目标控制方法中,可用来随时了解生产过程中质量变化情况的方法是( )
应用直方图法分析工程质量状况时,直方图出现折齿型分布的原因是( )
香蕉曲线法和S曲线法均可用来控制工程造价和工程进度。二者的主要区别是:香蕉曲线以( )为基础绘制。
下列工程项目目标控制方法中,可用于控制工程造价和工程进度的是( )
与工程总承包模式相比,设计﹣招标﹣建造(DBB)模式的特点是( )
对于实行项目法人责任制的项目,属于项目董事会职权的是( )
根据《国务院关于投资体制改革的决定》,对于特别重大的政府投资项目,应实行( )制度
根据《价格法》,地方定价商品目录应经( )审定后公布
在合同订立过程中,属于要约失效的情形是( )
监理工程师应当按照工程监理规范的要求,采取( )等形式对建设工程实施监理。
建设单位申请领取建筑工程施工许可证时,对工程建设资金条件的要求是( )。
发达国家对私人投资工程只进行政策引导和信息指导,体现了政府对造价的( )。
投资估算是进行( )的主要依据。
根据《造价工程师职业道德行为准则》,当造价工程师与委托方有利害关系时,正确的做法是( )。
建设工程全要素造价管理的核心是按照优先性原则,协调和平衡( )之间的对立统一关系。
则施工方可提出的工期索赔为( )天
则本工程2020年8月的价格调整金额为( )万元。
若实际土建和安装工程量增加到500和160单位,则工期索赔为( )月。
下列关于工期延误后的价格调整,描述正确的是( )。
则可索赔工期为( )月。
下列说法正确的有( )。
因承包人的原因造成施工进度滞后,属于( )。
下列关于索赔的说法中,错误的是( )。
下列不属于现场管理费索赔的是( )。
下列关于该工程设备价款调整的说法,正确的是( )。
则承包商可索赔的费用为( )元。
则该月水泥的实际结算价格为( )元/t。
关于合同价款的调整,下列说法正确的是( )。
承包人可索赔工期、费用和利润的情况不包括( )。
下列变化应纳入工程变更范围的有( )。
承包人遇到延迟提供图纸的情况,承包人可以要求( )的索赔。
则需调增钢筋材料费用为( )万元。
则该分项工程的结算价为( )元。
则该工程实际结算款额为( )万元。
由于发包人原因导致工程试运行失败,可以补偿的内容是( )。
则该中标人的报价浮动率为( )。
结算依据的价格指数分别为110、95、103,则结算的价款为( )万元。
下列事项应纳入工程变更范围的有( )。
承包人提出的索赔,是指的( )。
绘制质量控制图,需画出质量控制图的( )。
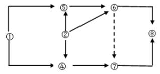
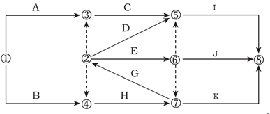
某分部工程双代号时标网络计划如下图所示,下列选项正确的有( )
最早开始时间为第7天,则该工作的持续时间为( )。
下列关于双代号时标网络计划的表述中,正确的有( )。
在不影响其紧后工作最早开始时间的前提下,本工作可利用的机动时间为( )。
下列对于网络计划中工期的描述错误的是( )
下列有关双代号时标网络计划的描述,说法正确的有( )。
建设工程组织流水施工时,确定流水节拍的方法有( )。
下列可用来控制工程造价的方法是( )。
关于双代号时标网络计划图的绘制,描述错误的是( )。
某工作双代号网络计划如下图所示,存在的绘图错误有( )。
在不影响总工期的前提下,本工作可以利用的机动时间为( )
下列关于流水施工的表述中,正确的有( )。
下列关于双代号时标网络计划的描述中正确的是( )。
可以用来判断工程造价偏差的是( )。
下列关于工程网络图的绘制原则,正确的有( )。
下列关于双代号时标网络的说法,正确的是( )。
下列网络图的绘制错误的有( )。
工程项目目标控制的方法中,可以用来找出工程质量主要影响因素的是( )。
某分部工程双代号网络图计划如下图所示,图中的错误有( )。
某工程双代号时标网络计划如下图所示,其中工作A的总时差为( )周。
其工程双代号网络图如下图所示,存在的绘图错误是( )。
在S曲线法中,将( )进行比较,以此判断工程进度偏差或造价偏差
双代号时标网络计划中,波形线表示工作的( )。
排列图中左侧纵坐标和右侧纵坐标分别表示质量影响因素出现的( )。
在绘制双代号网络图时,下列不属于应遵循的基本规则的是( )。
绘制工程数量或造价的( )。
按照粒径划分,粒径在( )范围内属于粉粒。
地下水中,不受气候影响,动态较稳定的是( )。
按照粒径划分,粒径在( )范围内属于粗砾。
山区公路坡积层内发生的( )是常见的边坡病害。
巨大岩块在重力作用下突然而猛烈地向下倾倒、翻滚、坠落的现象,称为( )。
冰冻地区路基顶部水分集中与( )是路基冻胀翻浆的原因。
规模较大的崩塌,一般多发生在高度大于30m,坡度大于( )的陡峻斜坡上。
按照粒径划分,粒径在( )范围内属于卵石。
按埋藏条件,地下水的划分不包括( )
调查表明,规模较大的崩塌,一般多发生在高度大于( )m,
下列选项中属于特殊土的是( )。
常处于第一层隔水层以上的水为( )。
下列选项中属于细粒土的是( )。
埋藏在地表下面第一个连续隔水层之上具有自由水面的水是( )。
关于高速公路特点的说法,错误的是( )。
下列选项中属于不收费的社会公益性公路的修建特点的有( )。
按公路在公路路网中的地位和行政等级划分的公路建设项目的有( )。
采用一阶段设计的建设项目,施工图设计的依据有( )。
在公路设计时,一般按15年预测设计交通量的有( )。
三阶段设计的设计内容包括( )。
下列造价文件中,属于设计阶段编制的是( )。
在公路设计时,一般按20年预测设计交通量的有( )。
初步设计概算静态投资部分的最高限额是( )。
对于技术复杂、基础资料缺乏或不足的建设项目,必要时可采用( )设计。
公路建设工程项目实施阶段包括( )。
( )是建设项目投资的最高限额,不得随意突破
公路建设前期阶段包括( )。
政府投资公路建设项目的实施程序中顺序正确的是( )。
( )是建设项目投资的最高限额,不得随意突破。
对于防水要求高、耐用年限长的土木建筑工程的防水选用( )。
适用于工业与民用建筑的屋面、地下室、卫生间等部位防水防潮的是( )。
( )适用于高温或有强烈太阳辅射地区的建筑物防水。
适用于寒冷地区和结构变形频繁的建筑物防水的材料是( )。
关于其说法,正确的是( )。
软化点越高,表示( )。
塑性随温度升降而变化的性能,用( )指标衡量。
( )是指石油沥青在外力作用时产生变形而不破坏
在石油沥青性质中,针入度越大,则( )。
在石油沥青性质中,表示石油沥青塑性的是( )。
在石油沥青性质中,反映沥青软硬、稀稠程度的是( )。
半固体或固体石油沥青的黏滞性用( )指标表示,
液体石油沥青的黏滞性用( )指标表示,表征液体沥青在流动时的内部阻力。
在石油沥青的组分中,属于有害组分是( )。
在石油沥青的组分中,( )是黏稠状物体,
在石油沥青的组分中,( )是最轻组分,赋予沥青流动性。
( )具有较好的弹性、黏结性和耐热性,施工也较为方便
采用( )可改变水的渗透路径,延长水的渗透路线。
粉煤灰硅酸盐中型砌块按砌块划分质量等级的依据有( )。
轻骨料混凝土小型空心砌块按砌块尺寸偏差及外观质量分为( )。
普通混凝土小型空心砌块按其( )分为优等品(A)、一等品(B)及合格品(C)。
蒸压加气混凝土砌块的质量按其尺寸偏差、外观质量、表观密度级别分为( )。
蒸压加气混凝土砌块划分质量等级的标准不包括( )。
下列属于工艺性能的有( )。
碳素结构钢( )具有较高的强度和良好的塑性、韧性,广泛地应用于建筑结构中。
表征钢材抗拉性能的技术指标主要有( )。
工艺性能表示钢材在各种加工过程中的行为,包括( )。
力学性能是钢材最重要的使用性能,包括( )。
钢材的主要性能包括( )。
在冷轧带肋钢筋中,用于预应力钢筋混凝土的有( )。
常用耐腐蚀涂料中,具有良好耐碱性能的包括( )。
安装工程防腐蚀施工时,不能直接涂覆在金属表面的涂料有( )。
在赋予被涂物美观外表的同时,避免基材的锈蚀。这种涂料为( )。
漆膜有良好的弹性与硬度,此种涂料为( )。
此种新型涂料为( )。
与酚醛树脂漆相比,环氧-酚醛漆的使用特点为( )。
可以在不同程度上提高涂层的耐候性、耐磨性和物理机械强度等的物质为( )。
涂料中次要成膜物质如红丹、锌铬黄、锌粉、铝粉、云母氧化铁等应属于( )。
该管材为( )。
根据涂料的基本组成分类,溶剂应属于( )。
目前它被广泛地用在冷热水供应系统中的是( )。
药皮在焊接过程中起着极为重要的作用,其主要表现有( )。
这种涂料为( )。
此管材为( )。
碱性焊条具有的特点为( )。
与酚醛树脂漆相比,环氧—酚醛漆的使用特点为( )。
交联聚乙烯管(PEX管)的应用场合有( )。
酸性焊条具有的特点为( )。
铝粉、云母、氧化铁、氧化锌、石墨粉等应属于( )。
某镀锌钢管长度1米,内径92mm,壁厚8mm,该镀锌钢管每米重量应为( )
与碱性焊条相比,酸性焊条焊接时所表现出的特点为( )。
多用于承受强烈磨损、强酸和碱腐蚀场合的管材为( )。
由“HJ”表示的是( )。
以辉绿岩、玄武岩等天然岩石为主要原料制成的铸石管,其主要特点有( )
按焊接工艺的需要,除不锈钢焊丝和非铁金属焊丝外,焊丝表面均镀( )
食品卫生管道及有特殊要求的管道,其可以输送的介质有( )。
是金属管材中最重的一种管材为( )。
该镀锌钢管每米重量应为( )。
某输送天然气的管道工程,其输送管道的管材应选用( )。
硬聚氯乙烯管使用温度范围是-10~40℃,最高温度不能超过( )℃
硬聚氯乙烯管使用温度范围是-10~40℃,最高温度不能超过( )℃。
地下室墙体其中一道防潮层设置在室外地面散水以上( )的位置
绿色建筑是指在全寿命期内( )的建筑。
是根据建筑物的( )等条件对基本烈度的调整。
关于地震级和烈度的说法,不正确的有( )。
关于地震烈度的说法,正确的是( )。
标准地震仪测得最大振幅为1m,则该次地震定为( )级。
()是根据建筑物的重要性、永久性、抗震性以及工程的经济性等条件对基本烈度的调整。
下列关于地震的表述,正确的有( )。
对于地震,中国科学院将地震震级分级包括( )。
下列关于岩石的物理性质的叙述,正确的有( )。
土和岩石根据物理力学性质和开挖施工难度,分别分为( )级和( )级。
岩石的主要物理性质有( )。
关于岩石吸水性叙述不正确的是( )。
符合一般岩石的抗压强度、抗剪强度和抗拉强度的是( )。
岩石的( )是指岩石受水作用后,强度和稳定性发生变化的性质
采用较多的加固处理方式是( )。
为了防止滑坡常用的措施是( )。
工程地基防止地下水机械潜蚀常用的方法有( )
风化、破碎岩层边坡加固,常用的结构形式有( )。
关于地下水以下正确的说法有( )。
开挖基槽局部突然出现严重流沙时,可立即采取的处理方式是( )。
下列因素中属于内在因素的有( )。
渗水降低滑坡体滑动控制面的( )
下列会产生流沙现象的是( )。
地层岩性对边坡稳定影响较大,边坡易直接发生崩塌的岩层是( )。
关于地下水对边坡稳定性影响的说法,正确的是( )。
交流分享,早日上岸!