在建设工程进度监测过程中,现场实地检查工程进展情况属于( )的主要方式。
风险等级中不希望有的风险等级是( )。
监理人应在专用条款约定的期限内批复或提出修改意见,批准的计划作为( )。
建筑工程勘察合同中的勘察人是具有相应勘察资质的
勘察人应当根据勘察服务方案制订临时占地计划,报请发包人批准,不属于勘察人向行政管理部门报建申请的是?
除专用合同条款另有约定外,发包人应在合同签订后( )天内,将发包人代表的姓名、职务、联系方式、授权范围和授权期限书面通知设计人。
根据《标准设计招标文件》中的通用合同条款,下列工程勘察合同组成文件中,优先解释顺序排在中标通知书之前的是?
建设工程勘察中需要占用临时用地,位于道路、绿化或者其他市政设施内的临时占地,由( )向行政管理部门报建申请
根据《标准勘察招标文件》中的通用合同条款,勘察人应对勘察方法的( )完全负责。
根据《标准设计招标文件》中的通用合同条款,工程设计应执行的各项规范、标准和发包人要求之间对同一内容的描述不一致时,应以( )为准。
用于技术含量高、工艺或技术方案复杂的大型或成套设备等招标项目的评标方法是( )。
某工程施工招标时,评标委员会成员拟由9人组成,根据《招标投标法》,其中技术、经济等方面的专家应不少于( )人。
某大型复杂工程,施工技术要求高,对性能有特殊要求,则施工招标适宜采用的评标方法是?
标段划分与( )紧密相连,不可分割的单位工程不得设立标段,也不得以不合理的标段设置或工期限制排斥潜在的投标人。
下列关于招标机构资格的描述中正确的是?
某工程招标工期20个月,投标工期每提前一个月,可以给招标人带来10万元的收益。
施工评标过程中,发现投标报价总价金额与依据单价计算出的结果不一致,且单价金额小数点无明显错误,评标委员会正确的处理办法是?
关于中标和签订合同的说法,正确的是?
根据《标准勘察招标文件》,评标委员会成员对需要共同认定的事项存在争议,评标结论应当( )作出。
下列资质中只设甲级的有?
对纳入规定范围的项目勘察、设计等服务的采购,( )在100万元人民币以上的,必须进行招标。
招标人和中标人应当在中标通知书发出之日起( ),订立书面合同。
根据《标准施工招标文件》,有关“建筑工程一切险”的规定,下列描述中正确的是?
根据《民法典》担保物权分编和合同编,定金不得超过主合同标的金额的?
不得抵押的财产有?
编制单位工程施工进度计划的步骤包括( )。
工程监理单位的中心任务是( )。
根据《标准施工总承包招标文件》中的《合同条款及格式》,竣工试验分三阶段进行,其中第一阶段进行的是( )。
2023年监理工程师进度控制经典习题第19题
2023年监理工程师进度控制经典习题第30题
2023年监理工程师进度控制经典习题第29题
2023年监理工程师进度控制经典习题第28题
2023年监理工程师进度控制经典习题第27题
2023年监理工程师进度控制经典习题第26题
2023年监理工程师进度控制经典习题第25题
2023年监理工程师进度控制经典习题第24题
2023年监理工程师进度控制经典习题第23题
2023年监理工程师进度控制经典习题第22题
2023年监理工程师进度控制经典习题第21题
2023年监理工程师进度控制经典习题第20题
2023年监理工程师进度控制经典习题第18题
2023年监理工程师进度控制经典习题第17题
2023年监理工程师进度控制经典习题第16题
2023年监理工程师进度控制经典习题第15题
2023年监理工程师进度控制经典习题第14题
2023年监理工程师进度控制经典习题第13题
2023年监理工程师进度控制经典习题第12题
2023年监理工程师进度控制经典习题第11题
2023年监理工程师进度控制经典习题第10题
2023年监理工程师进度控制经典习题第9题
2023年监理工程师进度控制经典习题第8题
2023年监理工程师进度控制经典习题第7题
2023年监理工程师进度控制经典习题第6题
2023年监理工程师进度控制经典习题第5题
2023年监理工程师进度控制经典习题第4题
2023年监理工程师进度控制经典习题第3题
2023年监理工程师进度控制经典习题第2题
2023年监理工程师进度控制经典习题50题
2023年监理工程师进度控制经典习题第1题
2023年监理工程师质量控制经典习题第28题
2023年监理工程师质量控制经典习题第27题
2023年监理工程师质量控制经典习题第26题
2023年监理工程师质量控制经典习题第25题
2023年监理工程师质量控制经典习题第24题
2023年监理工程师质量控制经典习题第23题
2023年监理工程师质量控制经典习题第22题
2023年监理工程师质量控制经典习题第21题
2023年监理工程师质量控制经典习题第20题
2023年监理工程师质量控制经典习题第19题
2023年监理工程师质量控制经典习题第18题
2023年监理工程师质量控制经典习题第17题
2023年监理工程师质量控制经典习题第16题
2023年监理工程师质量控制经典习题第15题
2023年监理工程师质量控制经典习题第14题
2023年监理工程师质量控制经典习题第13题
2023年监理工程师质量控制经典习题第12题
2023年监理工程师质量控制经典习题第11题
2023年监理工程师质量控制经典习题第9题
2023年监理工程师质量控制经典习题第10题
2023年监理工程师质量控制经典习题第8题
2023年监理工程师质量控制经典习题第7题
2023年监理工程师质量控制经典习题第6题
2023年监理工程师质量控制经典习题第5题
2023年监理工程师质量控制经典习题第4题
2023年监理工程师质量控制经典习题第3题
2023年监理工程师质量控制经典习题第2题
2023年监理工程师质量控制经典习题100道
2023年监理工程师质量控制经典习题第1题
施工进度检查的主要方法是( )。
下列各项中,属于风险分析与评价方法的有( )。
在建设工程中,建设工程材料设备采用非即时买卖合同的种类有( )。
监理工程师在审查施工进度计划时,发现问题后应采取的措施是( ),并协助承包单位修改。
为应对工程风险,采用非保险转移策略的优点有( )。
某公司销售施工机械设备,合同约定卖方于4月13日和5月12日两次共计价值1000万的设备,
在建设工程监理规划指导下编制的施工进度控制工作细则,其主要内容包括( )。
国际工程中,工程咨询公司主要为业主提供( )服务。
除专用合同条款另有约定外,卖方有义务在验收款支付函签署后
当工程延期事件具有持续性时,根据工程延期的审批程序,监理工程师应在调查核实阶段性报告的基础上完成的工作是( )。
下列属于FIDIC道德准则中能力方面要求的有( )。
在《施工合同条件》模式下,承包商的主要责任和义务有( )。
根据工程延期的审批程序,当延期事件具有持续性、承包单位在合同规定的有效期内不能提交最终详细的申述报告时,应先向监理工程师提交该延期事件的( )。
关于CM模式的说法,正确的是( )。
在《施工合同条件》模式下,工程师的主要责任和义务包括( )。
2022年监理工程师《监理概论》试题及答案解析
2022监理工程师《合同管理》试题及答案解析
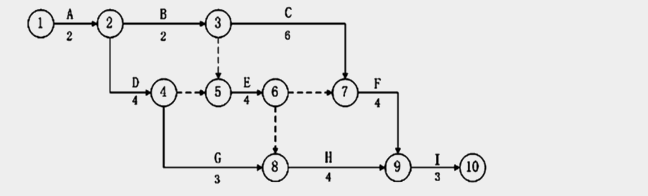
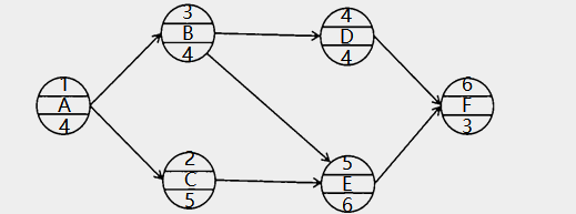
该工程工期是 ( )天。
该工程的流水施工工期是( )天。
建设工程组织固定节拍流水施工的特点有( )。
某工程由5个施工过程组成,分为3个施工段组织固定节拍流水施工,在不考虑提前插入时间的情况下,要求流水施工工期不超过44天,则流水节拍的最大值为( )天。
根据《民法典》第三编合同,电梯生产公司的回函属于( )。
则该取消通知从法律上称为( )。
乙公司拒绝收货的合法理由应当是( )
根据《招标投标法》,依法必须进行招标的项目,招标人应当自确定中标人之日起( )日内,向有关行政监督部门提交招投标情况的书面报告。
根据《招标投标法》,在招标投标活动中,投标人不得采取的行为包括( )。
根据《招标投标法》,招标人应当自确定中标人之日起( )日内,向有关行政监督部门提交招标投标情况的书面报告。
根据《合同法》,工程勘察合同属于( )。
根据《合同法》,属于委托合同的有( )。
乙收到两份函件后,3月4日,乙发函至甲表示同意履行3月1日的采购单。关于该案的正确说法,正确的是( )。
根据《合同法》,关于要约的说法,正确的有( )。
根据《合同法》,要约失效的情形有( )。
乙公司拒绝收货的合法理由应当是( )。
如果施工企业后发出的取消通知先于采购清单到达材料供应商处,则该取消通知从法律上称为( )。
施工单位丙向电梯生产公司订购两部A型电梯,丙要求5日内交货。电梯生产公司回函表示如果延长一周可如约供货。根据《民法典》第三编合同,电梯生产公司的回函属于( )。
根据《合同法》,关于要约与承诺的说法,错误的有( )。
下列费用中,属于建设单位管理费的是( )。
某进口设备采用装运港船上交货价(FOB),该设备的到岸价除货价外,还应包括( )。
下列工作中,属于工程监理单位提供相关服务的工作内容有( )。
在有足够工作面和资源的前提下,施工工期最短的施工组织方式是( )。
建设工程组织平行施工的特点有( )。
流水施工中某施工过程(专业工作队)在单位时间内所完成的工程量称为( )
组织建设工程流水施工时,相邻两个施工过程相继开始施工的最小间隔时间称为( )
下列各类参数中,属于流水施工参数的有( )。
在流水施工中,用来表达流水施工在空间布置上开展状态的参数是( )。
采用加快的成倍节拍流水施工方式的特点有( )。
则两个施工过程之间的流水步距是( )天。
下列关于流水施工的说法中,反映建设工程非节奏流水施工特点的有( )。
建设工程流水施工中普遍采用的方式是( )。
建设工程组织非节奏流水施工时,计算流水步距的基本步骤是( )。
建设项目总进度纲要的内容有( )
下列进度计划中,属于建设单位计划系统的是()。
在建工程进度控制计划体系中,工程项目前期工作计划属于()的计划系统。
下列进度计划表中,属于建设单位计划系统中工程项目建设总进度计划的有( )。
在对建设工程实施全过程监理的情况下,监理单位总进度计划的编制依据有( )。
在建设工程进度控制计划体系中,属于设计单位计划系统的是( )。
下列建设工程进度计划编制工作中,属于绘制网络图阶段工作内容的是()
在编制建设工程进度计划时,分析各项工作之间逻辑关系的主要依据是( )。
根据《卓越绩效评价准则》,卓越绩效模式的基本特征是()。
政府建设主管部门建立的工程质量管理制度有( )
工程质量检验机构出具的检验报告需经( )确认后,方可按规定归档
根据《建设工程质量管理条例》,设计文件中选用的材料、构配件和设备,应当注明( )
涉及建筑承重结构变动的装修工程设计方案,应经()审批后方可实施。
根据《建设工程质量管理条例》,未经( )签字,建筑材料、建筑构配件不得在工程上使用或安装。
根据《建设工程质量管理条例》,在建设工程开工前,应当按照国家有关规定办理工程质量监督手续,可以与工程质量监督手续合并办理的是( )
施工评标过程中,发现投标报价大写金额与小写金额不一致时,评标委员会正确的处理办法是()。
根据《标准设计施工总承包招标文件》规定,与施工招标文件相比较,设计施工总承包招标文件的投标人须知中增加了()
《标准设计施工总承包招标文件》中的发包人要求附件清单,包括()。
政府建设主管部门建立的工程质量管理制度有()
工程质量检验机构出具的检验报告需经()确认后,方可按规定归档
下列费用中,属于规费的是( )。
根据《建筑安装工程费用项目组成》(建标[2013]44号)规定,企业管理费包括( )。
下列费用中,属于建筑安装工程费中措施项目费的有( )
根据《建筑安装工程费用项目组成》,暂列金额可用于支付( )。
则该项目建筑安装工程造价为( )万元。
则该材料的预算单价为( )元/吨。
当采用一般计税方法计算计入建筑安装工程造价的增值税销项税额时,增值税的税率为( )。
司机每台班工资与台班动力费等合计为100元。该台挖掘机的使用费为( )万元。
下列费用中,属于承包人投标时可自主报价的竞争性费用是()。
则该工程的招标控制价为( )万元。
则该进口设备计算增值税时的组成计税价格为( )万元人民币。
则该进口设备的增值税为人民币( )万元。
则该设备进口关税的计算基数是( )万元。
则该设备的购置费用为( )万元。
若美元兑人民币的汇率为6.2,则该进口设备的到岸价为( )万元人民币。
取得国有土地使用费包括()。
设备的无负荷联动试运转费用属于建设工程总投资中的()。
下列费用中,属于工程建设其他费用的有( )。
引进技术和进口设备其他费包括( )。
则该建设项目的基本预备费为( )万元。
该项目建设期涨价预备费为( )万元。
估算建设工程投资时,需要预留项目实施中可能发生,但难以预料的工程量增加的费用,该费用属于( )。
则该项目估算的建设期利息为( )万元。
下列项目监理机构施工阶段投资控制的措施中,属于技术措施的是()
项目监理机构在施工阶段投资控制的主要工作有()
下列工作中,属于工程监理单位提供相关服务的工作内容有( )
下列费用中,属于静态投资的是()
建设工程组织平行施工的特点有()。
在有足够工作面和资源的前提下,施工工期最短的施工组织方式是()。
下列关于流水施工的说法中,反映建设工程非节奏流水施工特点的有()
则流水施工工期为( )天。
则参加流水施工的专业工作队总数为( )个。
则该分部工程的流水施工工期是( )天。
则流水节拍的最大值为( )天。
建设工程组织固定节拍流水施工的特点有()。
交流分享,早日上岸!